## loading python libraries
# necessary to display plots inline:
%matplotlib inline
# load the libraries
import matplotlib.pyplot as plt # 2D plotting library
import numpy as np # package for scientific computing
from math import * # package for mathematics (pi, arctan, sqrt, factorial ...)
Part I:
An Introduction to Algebraic Graph Theory. Cesar O. Aguilar. Online Lecture Notes.
Part II: S.M.Ross Introduction to Probability Models (2014), Academic Press.
Throughout this Notebook a graph $G$ of size $n\geq 1$ is given by $(V,E)$ where:
The following is a graphical representation of the graph with
In the above example, $$ A_G= \begin{pmatrix} 0 & 1 & 0 & 0\\ 0 & 1 & 1 & 0\\ 0 & 0 & 0 & 1\\ 1 & 0 & 1 & 0\\ \end{pmatrix} $$
We will continuously use the following property, as it is the one that makes the introduction of adjacency matrices relevant.
Proof of Proposition 1.
We do the proof in the case $k=2$, the general case follows by induction. Write $A_G=(a_{i,j})_{1\leq i,j\leq n}$. Then by definition of matrix product:
$$
(A_G^n)_{i,j}=a_{i,1}a_{1,j}+a_{i,2}a_{2,j}+\dots + a_{i,n}a_{n,j}.
$$
Consider a term $a_{i,\ell}a_{\ell,j}$ in the above sum. This term is zero unless $a_{i,\ell}=a_{\ell,j}=1$. The latter means that we have a path of length two $v_i \to v_\ell\to v_j$. In other words
$$
a_{i,\ell}a_{\ell,j}=
\begin{cases}
1 \text{ if there is a path of length $2$ from $v_i$ to $v_j$, through $v_\ell$}
,\\
0 \text{ otherwise}
\end{cases}.
$$
By summing over $\ell$ we obtain the proposition in the case $k=2$.
End of proof.
# Running example
A=np.matrix([[0, 1, 0, 0],
[0, 1, 1, 0],
[0, 0, 0, 1],
[1, 0, 1, 0]])
print("A_G:")
print(A)
print('-----')
k=20
print("A_G to the power k =",k,':')
A_to_power_k = A**k
print(A_to_power_k)
print('-----')
print('There are ',int(A_to_power_k[0,3]), 'paths of length ',k,' from v_1 to v_4')
A_G: [[0 1 0 0] [0 1 1 0] [0 0 0 1] [1 0 1 0]] ----- A_G to the power k = 20 : [[ 529 1024 1208 792] [ 792 1553 1816 1208] [ 416 792 945 608] [ 608 1208 1400 945]] ----- There are 792 paths of length 20 from v_1 to v_4
Let $v_i,v_j$ two vertices of a graph $G$. We want to estimate, for large $k$, the number of paths of length $k$ from $v_i$ to $v_j$. Thanks to Proposition 1 this question amounts to estimating $(A_G^k)_{i,j}$.
In the following proposition we show that the asymptotics is driven by the largest eigenvalue of $A_G$.
Proof of Proposition 2.
We need to estimate the coefficient $(i,j)$ in $A_G^k$. Let us diagonalize $A_G$:
$$
A_G=P\times
\begin{pmatrix}
\lambda_1 & & & &\\
& \lambda_2 & & &\\
& & \lambda_3 & &\\
& & & \ddots &
\end{pmatrix}
\times
Q
$$
where $Q=P^{-1}$. Write $P=(p_{i,j})$ and $Q=(q_{i,j})$. (Recall that $(p_{i,\ell})_i$ is an eigenvector for $\lambda_\ell$.) For every $k$
$$
\begin{array}{r c c c c c c}
A_G^k&=& P &\times&
\begin{pmatrix}
\lambda_1^k & & & &\\
& \lambda_2^k & & &\\
& & \lambda_3^k & &\\
& & & \ddots &
\end{pmatrix}
&\times&
Q\\
&=& P &\times&
%\begin{matrix}
% \\
% \ell\text{-th row}\\
% \\
%\end{matrix}
\begin{pmatrix}
& & & &\\
& & \lambda_\ell^kq_{\ell,j} & &\\
& & & &
\end{pmatrix}_{\ell,j}
& & \\
&=& & &
\begin{pmatrix}
& & & &\\
& & \sum_{\ell}p_{i,\ell}q_{\ell,j}\lambda_\ell^k & &\\
& & & &
\end{pmatrix}_{i,j}
& & \\
\end{array}
$$
Hence
\begin{align*}
(A_G^k)_{i,j}=\sum_{\ell=1}^np_{i,\ell}q_{\ell,j}\lambda_\ell^k
= p_{i,1}q_{1,j}\lambda_1^k+\sum_{\ell=2}^np_{i,\ell}q_{\ell,j}\lambda_\ell^k
= p_{i,1}q_{1,j}\lambda_1^k+\mathrm{o}(\lambda_1^k),
\end{align*}
since $|\lambda_2|,\dots,|\lambda_n|$ are all less than $\lambda_1$. The Proposition is proved, with $c_{i,j}=p_{i,1}q_{1,j}$.
End of Proposition 2.
We want to apply Proposition 2 to our running example. With the following script we compute the eigenvalues of $A$.
# Running example
Diagonalization=np.linalg.eig(A)
Eigenvalues=Diagonalization[0] # Computes the eigenvalues of A
Eigenvectors=Diagonalization[1] # Computes the passage matrix onto the basis of eigenvectors
print('-------')
print('The eigenvalues are:')
print(np.round(Eigenvalues,5))
print('In particular the largest one is')
lambda_1=max(Eigenvalues)
print(np.round(lambda_1,5))
print('-------')
real_parts = Eigenvalues.real
imag_parts = Eigenvalues.imag
# Plots of eigenvalues
plt.figure(figsize=(8, 6))
plt.scatter(real_parts, imag_parts, color='pink', marker='o', s=200)
plt.axhline(0, color='black',linewidth=0.5)
plt.axvline(0, color='black',linewidth=0.5)
#plt.grid(color = 'gray', linestyle = '--', linewidth = 0.5)
plt.title('Locations of eigenvalues')
plt.xlabel('Real parts')
plt.ylabel('Imaginary parts')
plt.show()
------- The eigenvalues are: [-1.17872+0.j 0.33292+0.67077j 0.33292-0.67077j 1.51288+0.j ] In particular the largest one is (1.51288+0j) -------
We now plot the number of paths of length $k$ from $v_1$ to $v_2$, and compare to $\lambda_1^k$.
def Paths_from_vi_to_vj(i,j,k):
A_to_power_k = np.linalg.matrix_power(A,k)
return A_to_power_k[i-1,j-1]
# We observe that lambda_1 = 1.5128... + 0 \times i where i^2=-1. This is because lambda_1 is obtained
# by numerical approximations. We take the real part in order to avoid this issue.
lambda_1=np.real(lambda_1)
KK=range(40)
NumberOfPaths_v1_v2=[Paths_from_vi_to_vj(1,2,k) for k in KK]
NumberOfPaths_v1_v3=[Paths_from_vi_to_vj(1,3,k) for k in KK]
plt.title('Number of paths')
plt.plot(KK,NumberOfPaths_v1_v2,'o-',label='Paths v_1 to v_2')
plt.plot(KK,NumberOfPaths_v1_v3,'o-',label='Paths v_1 to v_3')
plt.legend()
plt.show()
KK=range(40)
NormalizedNumberOfPaths_v1_v2=[NumberOfPaths_v1_v2[k]/lambda_1**k for k in KK]
NormalizedNumberOfPaths_v1_v3=[NumberOfPaths_v1_v3[k]/lambda_1**k for k in KK]
plt.title('Number of paths divided by lambda_1**k')
plt.plot(KK,NormalizedNumberOfPaths_v1_v2,'o-',label='Paths v_1 to v_2')
plt.plot(KK,NormalizedNumberOfPaths_v1_v3,'o-',label='Paths v_1 to v_3')
plt.legend()
plt.show()
The plots are consistent with Proposition 2: for instance the number of paths $v_1\to v_2$ seems to be equivalent to $c_{1,2}\lambda_1^k$, where (empirically) $c_{1,2}\approx 0.2600...$ while the number of paths $v_1\to v_3$ seems to be equivalent to $c_{1,3}\lambda_1^k$, with $c_{1,3}\approx 0.3051...$
A transition matrix is used to model the random process of an individual (which may be a particle in a physical system, an agent in a model in economics, an internal variable in a stochastic algorithm, ...) on the set $V$. The coefficient $p_{i,j}$ is interpreted as the probability of going from $v_i$ to $v_j$ in exactly one time step.
The good framework for such a model is that of Markov chains.
Successive powers of a transition matrix $P$ allow to compute the distribution of a Markov chain at a given time.
Proof of Proposition 3.
By the law of total probabilities
\begin{align*}
\mathbb{P}(X_{t}=v_{i_{j}}) &= \sum_{i_1,\dots,i_{t-1}\in V}\mathbb{P}\left( X_1=v_{i_1},\dots,X_{t-1}=v_{i_{t-1}},X_{t}=v_{i_{j}}\right)\\
&= \sum_{i_1,\dots,i_{t-1}\in V}p_{i_0,i_1}\times p_{i_1,i_2}\times \dots \times p_{i_{t-2},i_{t-1}}\times p_{i_{t-1},j}\\
&= (P^t)_{i_0,j}.
\end{align*}
(If the last equality is not clear to you, you can try to prove it by induction on $t$.)
End of Proposition 3.
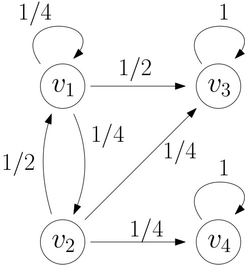
P=np.matrix([
[1/4, 1/4, 1/2, 0],
[1/2, 0 , 1/4, 1/4],
[0,0,1,0],
[0,0,0,1],
])
print('-----')
print("P =")
print(P)
print('-----')
t=6
print("P to the power ",t)
P_to_power_t = np.linalg.matrix_power(P,t) # computes P**t
print(np.round(P_to_power_t,4))
print('-----')
print('Asumme X_0=v_1. At time t =',t,' X_t is at position v_2 with probability ',np.round(P_to_power_t[0,1],4))
----- P = [[0.25 0.25 0.5 0. ] [0.5 0. 0.25 0.25] [0. 0. 1. 0. ] [0. 0. 0. 1. ]] ----- P to the power 6 [[0.0105 0.0051 0.887 0.0974] [0.0103 0.0054 0.687 0.2974] [0. 0. 1. 0. ] [0. 0. 0. 1. ]] ----- Asumme X_0=v_1. At time t = 6 X_t is at position v_2 with probability 0.0051
A look at the probabilitic graph of our previous example shows that if the particle hits $v_3$ it stays at $v_3$ forever (the same happens at $v_4$). We say that $v_3$ and $v_4$ are absorbing states for the chain $(X_t)$.
The following question is natural: what is the probability that, starting from $v_1$, the chain is absorbed at $v_3$? at $v_4$?
If we compute $P^t$ for a large $t$ in our example, we obtain:
print('-----')
t=30
print("P to the power ",t)
P_to_power_t = np.linalg.matrix_power(P,t) # computes A**t
print(np.round(P_to_power_t,4))
print('-----')
for starting_point in [0,1]:
for absorbing_state in [2,3]:
print('Asumme X_0=v_'+str(starting_point+1)+'. At time t ='+str(t)+' X_t is at position v_'+str(absorbing_state+1)+' with probability '+str(np.round(P_to_power_t[starting_point,absorbing_state],10)))
----- P to the power 30 [[0. 0. 0.9 0.1] [0. 0. 0.7 0.3] [0. 0. 1. 0. ] [0. 0. 0. 1. ]] ----- Asumme X_0=v_1. At time t =30 X_t is at position v_3 with probability 0.8999999992 Asumme X_0=v_1. At time t =30 X_t is at position v_4 with probability 0.0999999998 Asumme X_0=v_2. At time t =30 X_t is at position v_3 with probability 0.6999999992 Asumme X_0=v_2. At time t =30 X_t is at position v_4 with probability 0.2999999998
This suggests that if the starting point is $v_1$ then
$$
\mathbb{P}(\text{the chain is absorbed at }v_3)\approx 0.9,\qquad
\mathbb{P}(\text{the chain is absorbed at }v_4)\approx 0.1.
$$
In this Section we do not state a general result but rather explain on this example how to compute exactly the absorbing probabilities.
For an arbitrary state $v_i$ and an absorbing state $a$, let $\alpha_{v_i}^{a}$ be the probability that, starting at $v_i$, the chain is absorbed at $a$. Of course $$ \alpha_{v_3}^{v_3}=\alpha_{v_4}^{v_4}=1,\qquad \alpha_{v_3}^{v_4}=\alpha_{v_4}^{v_3}=0. $$ We write \begin{align*} \alpha_{v_1}^{v_3}&=\mathbb{P}(X_0=v_1,\text{the chain is absorbed at }v_3)\\ &=\mathbb{P}(X_0=v_1,X_1=v_1,\text{the chain is absorbed at }v_3)+ \mathbb{P}(X_0=v_1,X_1=v_2,\text{the chain is absorbed at }v_3)+ \mathbb{P}(X_0=v_1,X_1=v_3,\text{the chain is absorbed at }v_3)\\ &= p_{1,1}\alpha_{v_1}^{v_3}+p_{1,2}\alpha_{v_2}^{v_3}+p_{1,3}\alpha_{v_3}^{v_3}\\ &= \frac{1}{4}\times \alpha_{v_1}^{v_3}+\frac{1}{4}\alpha_{v_2}^{v_3}+\frac{1}{2}. \end{align*} If we do the same starting from $v_2$ we get \begin{align*} \alpha_{v_2}^{v_3}&= \frac{1}{2}\times \alpha_{v_1}^{v_3}+\frac{1}{4}+\frac{1}{4}\times 0. \end{align*} Finally we have the $2\times 2$ linear system $$ \begin{cases} \alpha_{v_1}^{v_3}&=\frac{1}{4}\times \alpha_{v_1}^{v_3}+\frac{1}{4}\alpha_{v_2}^{v_3}+\frac{1}{2}\\ \alpha_{v_2}^{v_3}&= \frac{1}{2}\times \alpha_{v_1}^{v_3}+\frac{1}{4} \end{cases} \Leftrightarrow \begin{cases} \alpha_{v_1}^{v_3}&=9/10\\ \alpha_{v_2}^{v_3}&=7/10 \end{cases}, $$ which is consistent with our numerical approximation.
The following property is fundamental for Markov chains. It tells that in order to compute the distribution of $X_{t+1}$, it is enough to know the distribution of $X_t$.
Proof of Proposition 3.
We first compute the left-hand side, using the definition of conditional probabilities:
\begin{align*}
\mathbb{P}\left(X_{t+1}=v_{i_{t+1}}\ |\ X_1=v_{i_1},\dots,X_t=v_{i_t}\right)
&= \frac{\mathbb{P}\left( X_1=v_{i_1},\dots,X_t=v_{i_t},X_{t+1}=v_{i_{t+1}}\right)}{\mathbb{P}\left( X_1=v_{i_1},\dots,X_t=v_{i_t}\right)}\\
&= \frac{p_{i_0,i_1}\times p_{i_1,i_2}\times \dots p_{i_{t-1},i_t}\times p_{i_{t},i_{t+1}}}{p_{i_0,i_1}\times p_{i_1,i_2}\times \dots\times p_{i_{t-1},i_t}}\\
&= p_{i_{t},i_{t+1}}.
\end{align*}
Let us now compute the right-hand side, using the law of total probabilities:
\begin{align*}
\mathbb{P}\left(X_{t+1}=v_{i_{t+1}}\ |\ X_t=v_{i_t}\right)
&= \frac{\mathbb{P}\left( X_t=v_{i_t},X_{t+1}=v_{i_{t+1}}\right)}{\mathbb{P}\left(X_t=v_{i_t}\right)}\\
&= \frac{\sum_{i_0,\dots,i_{t-1}\in V}\mathbb{P}\left( X_1=v_{i_1},\dots,X_t=v_{i_t},X_{t+1}=v_{i_{t+1}}\right)}{\sum_{i_0,\dots,i_{t-1}\in V}\mathbb{P}\left( X_1=v_{i_1},\dots,X_t=v_{i_t}\right)}\\
&= \frac{\sum_{i_0,\dots,i_{t-1}\in V}p_{i_0,i_1}\times p_{i_1,i_2}\times \dots p_{i_{t-1},i_t}\times p_{i_{t},i_{t+1}}}{\sum_{i_0,\dots,i_{t-1}\in V}p_{i_0,i_1}\times p_{i_1,i_2}\times \dots\times p_{i_{t-1},i_t}}\\
&= \frac{p_{i_{t},i_{t+1}}\sum_{i_0,\dots,i_{t-1}\in V}p_{i_0,i_1}\times p_{i_1,i_2}\times \dots p_{i_{t-1},i_t}}{\sum_{i_0,\dots,i_{t-1}\in V}p_{i_0,i_1}\times p_{i_1,i_2}\times \dots\times p_{i_{t-1},i_t}}\\
&= p_{i_{t},i_{t+1}}.
\end{align*}
End of proof of Proposition 3.